Después de más de seis meses de interrupción total del servicio de transporte urbano de pasajeros, no sólo por la pandemia sino fundamentalmente por el conflicto que desencadenó en la recisión del contrato con el Transporte de la Villa, este viernes debutó “Villa Bus”, la nueva prestaria del servicio en Villa Carlos Paz.
Tal como anunciaron días atrás las autoridades municipales, “Villa Bus” surge de la Unión Transitoria de Empresas conformada por Car Cor y Fono Bus; quienes por el lapso de un año serán las encargadas de realizar la prestación provisoria.
Carlos Paz Vivo! se subió a una de las unidades, realizó uno de los recorridos que se trazaron para este periodo y dialogó con algunos de los usuarios que contaron su experiencia con esta nueva prestataria y expresaron cómo fue volver a circular en el transporte público.
Ver esta publicación en Instagram
Boleto gratis
De forma excepcional, desde este viernes y hasta el próximo domingo los viajes serán brindados de forma gratuita para todos los usuarios y en todos sus recorridos.
Esto es, según aclararon desde la UTE (Unión Transitoria de Empresas), para que estos días sirvan como un periodo de prueba y para que los usuarios frecuentes se familiaricen con el servicio.
¿Dónde se adquiere la tarjeta?
Desde la Villa Bus aclararon que el pago será sólo mediante una tarjeta, que deberá ser adquirida en la boletería ubicada en la sala de espera de la Municipalidad.
El plástico tiene un valor de 100 pesos y cuenta con dos boletos cargados para poder ser utilizado por el pasajero. Luego, cada pasaje costará 29 pesos, tal cual está establecido por ordenanza.
Cabe aclarar que, debido a que es otra la empresa prestataria, aquellos usuarios que cuenten con la tarjeta del Transporte de la Villa no van a poder utilizar el mismo plástico.
Además, por el momento sólo estará habilitado el punto de expendio de la terminal; aunque anticiparon que, con el correr de los días, se van a ir habilitando más puntos de ventas.
Recorridos
Según señalaron desde el Municipio, los mismos serán evaluados y analizados de manera continua por la Dirección de Servicios Públicos en conjunto con la UTE y en base a las sugerencias del usuario.
Mientras tanto, se diseñaron seis tramos, algunos muy similares a los que regían anteriormente, ya que el objetivo -agregaron- es tratar de llegar a los distintos puntos de la ciudad.
Recorrido EN: ACA-400-SOL Y RIO
Recorrido E1: SOL Y RIO – VILLA DEL LAGO
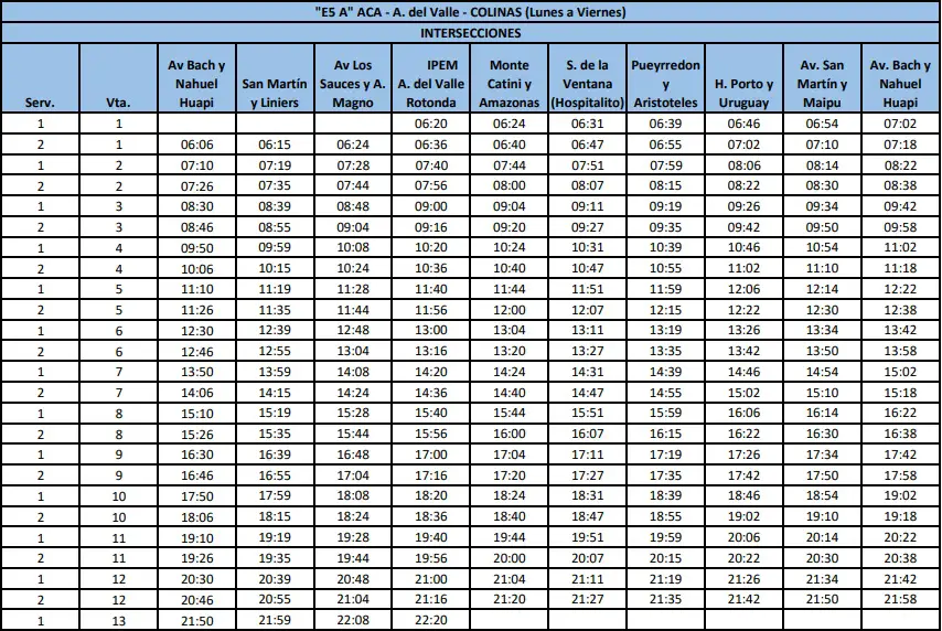
Recorrido”E5 A” ACA – A. del Valle – COLINAS
Frecuencia de lunes a viernes:
Frecuencia de sábados, domingos y feriados:
Recorrido “E5 B”: Playas de Oro-Colinas
Frecuencia de lunes a viernes:
Frecuencia sábados, domingos y feriados:
Recorrido “E6”: Aca – Playas de Oro
Frecuencia lunes a viernes:
Frecuencia sábados, domingos y feriados:
















