El municipio de Villa Carlos Paz informó las nuevas frecuencias del transporte urbano de pasajeros, de cara al inicio de clases.
Cabe recordar que actualmente el precio del boleto regular se encuentra en 65 pesos y que la empresa Villabus es un servicio de emergencia provisorio. Se espera que para finales de marzo el municipio realice un llamado a licitación para concesionar por diez años el servicio de transporte urbano.
De esta manera, los siguientes horarios y frecuencias se implementarán desde el 2 de marzo:
“E1” Sol y Río – Villa del Lago
“E2” Sol y Río – Costa Azul
“E5 A” ACA – Altos del Valle – Colinas
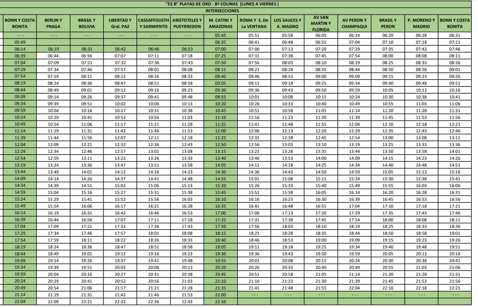
“E5 B” Playas de Oro – Colinas (lunes a viernes)
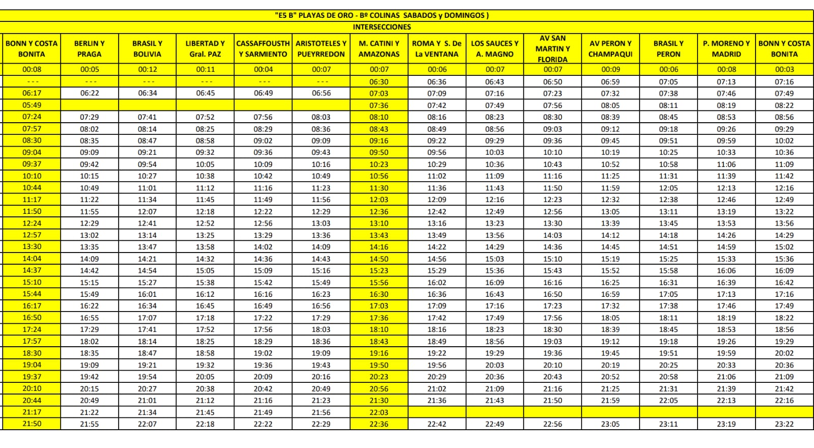
“E5 B” Playas de Oro – Colinas (sábados y domingos)
“E9 A” ACA -Altos del Valle
“E9 B” Hospital – Altos del Valle
“EN” (Servicio nocturno) ACA – Sol y Río
Ya se puede tramitar el Boleto Educativo Gratuito: Todo lo que tenés que saber
BEG: Cuándo se pueden inscribir los alumnos del nivel superior y universitario













